只看到这么一个图,不知道怎么算出来的。请教一下专家,看看算的对不对
lost to fees 这个算的对吗
版主: Nimitz
Re: lost to fees 这个算的对吗
难道是简单的 compound?我算算啊。考虑一个最简单的情况,投资年收益 10%,fee 1%
理想收益 vs 实际收益

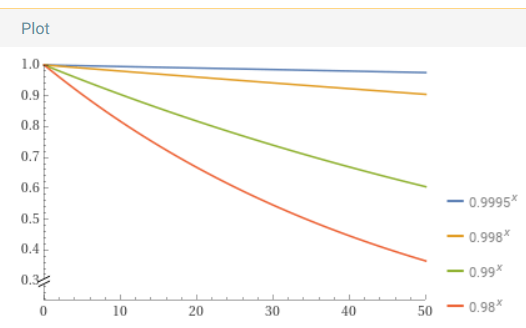
不同费率下比较 有费收益/无费收益
版主: Nimitz
难道是简单的 compound?我算算啊。考虑一个最简单的情况,投资年收益 10%,fee 1%
理想收益 vs 实际收益

不同费率下比较 有费收益/无费收益